An Automated NSW Smart Solution Story
The Challenge
We were recently asked to provide a customer with a control system for the feed-mixing side of a greenhouse irrigation system. Efficient irrigation control is critical for plant health and resource conservation in greenhouse operations, making this system’s reliability particularly important.
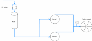
The system is made up of the following:
- Two pumps operating in parallel, feeding a supply header, were kept at a constant pressure
- A single Pump Feed Tank, which was filled by two binary valves in parallel
- The tank was equipped with a high-level and a low-level switch

Initially, we were concerned about accomplishing the design within the schedule and budget. Automated NSW scheduled a walkthrough. We were looking for resources on-site that might streamline the project.
The Discovery
When we arrived at the site, we were excited to find that the installed pumps were already equipped with Grundfos FM300 modules (advanced pump control interfaces) and had the associated pressure sensors installed and configured. This installation significantly simplified the project’s approach.
The Automated NSW Solution
We provided the electrician with drawings that directed them to make three total connections:
- The low-level switch to DI2 on the two FM300s.
- The high-level switch interrupts 24VAC to the fill valves through a time-delayed relay (which prevents rapid cycling of the valves).
- The FM300s Genibus connections to each other (the proprietary communication network that allows the pump controllers to exchange data).

We then made several configuration changes to the FM300 modules at the pumps. The analog input configuration was already complete, so we focused on:
- Settings -> DI2:
- Function: External Stop
- Activation Delay: 0
- Duration Timer Mode: Active with after-run
- Duration Mode Delay: 30 seconds
- In the settings menu, we changed the pump IDs at the FM300s to be unique to ensure proper communication.
- We set the Control Mode to Constant Pressure.
- From the Assist menu, we configured the FM300s to multi-pump mode:
- Control Mode: Cascade (allowing the system to automatically control multiple pumps to maintain pressure while optimizing energy usage)
Testing and Results
After completing the configuration, we thoroughly tested that all the safeties worked as expected. This included:
- Testing low and high-level tank protection by draining and refilling the tank
- Verifying pump protection by isolating and venting the pressure sensors
Benefits and Lessons Learned
The result was a system that autonomously:
- Maintains a constant system pressure by modulating the number of pumps running and their speed
- Maintains tank level within range, with a pump shutoff interlock to prevent the pumps from cavitating
- Optimizes energy usage by running only the pumps needed to meet demand
This project demonstrated the value of a thorough site assessment before beginning design work. By leveraging existing smart equipment, we delivered a sophisticated control solution while staying within tight budget and time constraints. The Grundfos FM300 modules proved to be particularly valuable in this application, providing advanced control capabilities without requiring additional controllers or complex programming.
Since installation, the customer has reported excellent system performance with minimal maintenance requirements, validating our approach to this challenging project. This success has become a model for our approach to similar irrigation control projects where budget and timeline constraints exist.
